티스토리 뷰
https://www.acmicpc.net/problem/25195

문제

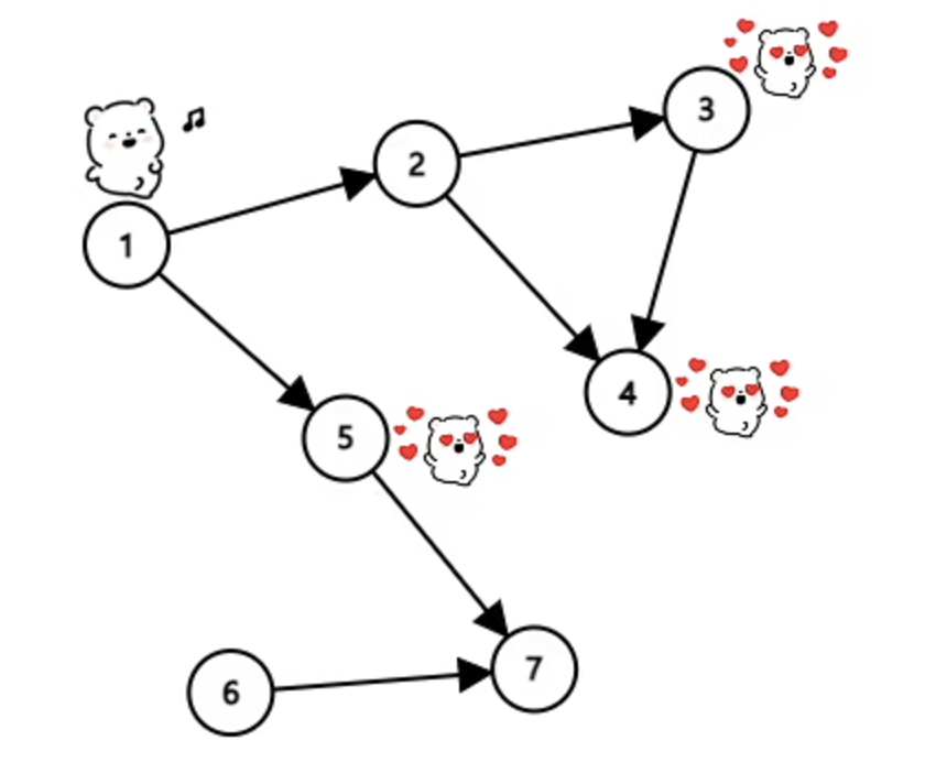
N개의 정점과 M개의 간선으로 이루어진, 사이클이 없는 방향그래프(DAG)가 주어진다.
투어리스트 곰곰이는 종종 이 그래프 위에서 여행을 떠난다. 투어리스트 곰곰이의 여행은 1번 정점에서 출발해 간선을 따라서 이동한다. 그러다가 더 이상 간선을 따라서 이동할 수 없는 경우 투어리스트의 여행은 종료된다.
투어리스트 곰곰이의 열성 팬인 팬클럽 곰곰이는 투어리스트를 만나기 위해 그래프 위의 정점 일부에서 잠복하곤 한다. 팬클럽 곰곰이가 잠복한 정점 위에 투어리스트 곰곰이가 서 있게 되면 투어리스트 곰곰이와 팬클럽 곰곰이가 만나게 된다.
오늘도 투어리스트 곰곰이는 음악을 들으면서 여행을 떠나려고 한다. 그러다가 Twice의 노래인 "YES or YES" 에서 다음과 같은 가사를 듣게 된다.
| 조금 쉽게 말하자면 넌 뭘 골라도 날 만나게 될 거야 Twice, YES or YES 가사 중 일부 |
투어리스트 곰곰이는 Twice의 노래 가사처럼, 뭘 골라도 팬클럽 곰곰이를 만나게 될 것인지 궁금해졌다.
투어리스트 곰곰이가 어떻게 이동하더라도 팬클럽 곰곰이를 만나게 된다면 "Yes" 를, 팬클럽 곰곰이를 만나지 않고 이동하는 방법이 존재한다면 "yes" 를 출력하자.
유형 : BFS
접근 방식
- 팬클럽을 만나지 않고 끝까지 갈 수 있는 경로가 한 개라도 존재하는 지 확인하면 된다.
코드
import java.util.*;
import java.io.*;
public class BOJ_25195_Yes_or_yes {
static int n,m,k;
static ArrayList<Integer>[] graph;
static boolean[] v;
static boolean[] isIt;
public static void main(String[] args) throws Exception {
BufferedReader br = new BufferedReader(new InputStreamReader(System.in));
StringTokenizer st = new StringTokenizer(br.readLine()," ");
n = Integer.parseInt(st.nextToken());
m = Integer.parseInt(st.nextToken());
graph = new ArrayList[n+1];
for(int i = 1 ; i <= n ; i++) {
graph[i] = new ArrayList();
}
for(int i = 1 ; i <= m ; i++) {
st = new StringTokenizer(br.readLine()," ");
int v1 = Integer.parseInt(st.nextToken());
int v2 = Integer.parseInt(st.nextToken());
graph[v1].add(v2);
}
st = new StringTokenizer(br.readLine()," ");
k = Integer.parseInt(st.nextToken());
v = new boolean[n+1];
isIt = new boolean[n+1];
st = new StringTokenizer(br.readLine()," ");
for(int i = 1 ; i <= k ; i++) {
int tmp = Integer.parseInt(st.nextToken());
isIt[tmp] = true;
}
if(isIt[1]) {
System.out.println("Yes");
}else {
System.out.println(go());
}
br.close();
}
static String go() {
Queue<Integer> q = new ArrayDeque<>();
q.add(1);
v[1] = true;
while(!q.isEmpty()) {
int cur = q.poll();
for(int next : graph[cur]) {
if(!isIt[next] && !v[next]) {
v[next] = true;
q.add(next);
}
}
if(graph[cur].size() == 0 && !isIt[cur]) {
return "yes";
}
}
return "Yes";
}
}
'알고리즘 > 백준' 카테고리의 다른 글
| 백준 5721 (사탕 줍기 대회) - java (0) | 2024.12.06 |
|---|---|
| 백준 14863 (서울에서 경산까지) - java (1) | 2024.12.05 |
| 백준 1727 (커플 만들기) - java (0) | 2024.12.04 |
| 백준 14574 (헤븐스 키친) - java (2) | 2024.12.04 |
| 백준 14461 (소가 길을 건너간 이유 7) - java (0) | 2024.12.04 |
공지사항
최근에 올라온 글
최근에 달린 댓글
- Total
- Today
- Yesterday
링크
TAG
- 백준 #2636 #치즈
- 백준 #5721 #사탕 줍기 대회 #java #자바
- 17218
- Java
- 백준 #18405 #경쟁적 전염
- 백준 #15686 #치킨 배달
- 백준 #14863 #서울에서 경산까지 #java #자바
- 자바
- 백준 #25603 #짱해커 이동식 #java #자바
- 자바 #JAVA
- 백준 #28140 #빨강~ 빨강~ 파랑! 파랑! 달콤한 솜사탕! #java #자바
- 백준 #1325 #효율적인 해킹
- 백준 #1759 #암호 만들기
- 백준 #1987 #알파벳 #자바 #java
- 올해보다
- 백준 #다리 만들기 #2146
- 백준 #2580 #스도쿠
- 백준 #12014 #주식 #자바 #java
- 백준 #13549 #숨바꼭질3
- 백준 #치즈 #2638
- 행복합시다.
- 백준 #4963 #섬의 개수
- 백준 #17940 #주식 #자바 #java
- 백준 #
- 17394
- 백준 #3980 #선발 명단
- 백준
- 백준 #16973 #직사각형 탈출
- 백준 #인구 이동 #16234
- 백준 #1584 #게임 #java #자바
| 일 | 월 | 화 | 수 | 목 | 금 | 토 |
|---|---|---|---|---|---|---|
| 1 | 2 | 3 | 4 | 5 | 6 | 7 |
| 8 | 9 | 10 | 11 | 12 | 13 | 14 |
| 15 | 16 | 17 | 18 | 19 | 20 | 21 |
| 22 | 23 | 24 | 25 | 26 | 27 | 28 |
글 보관함